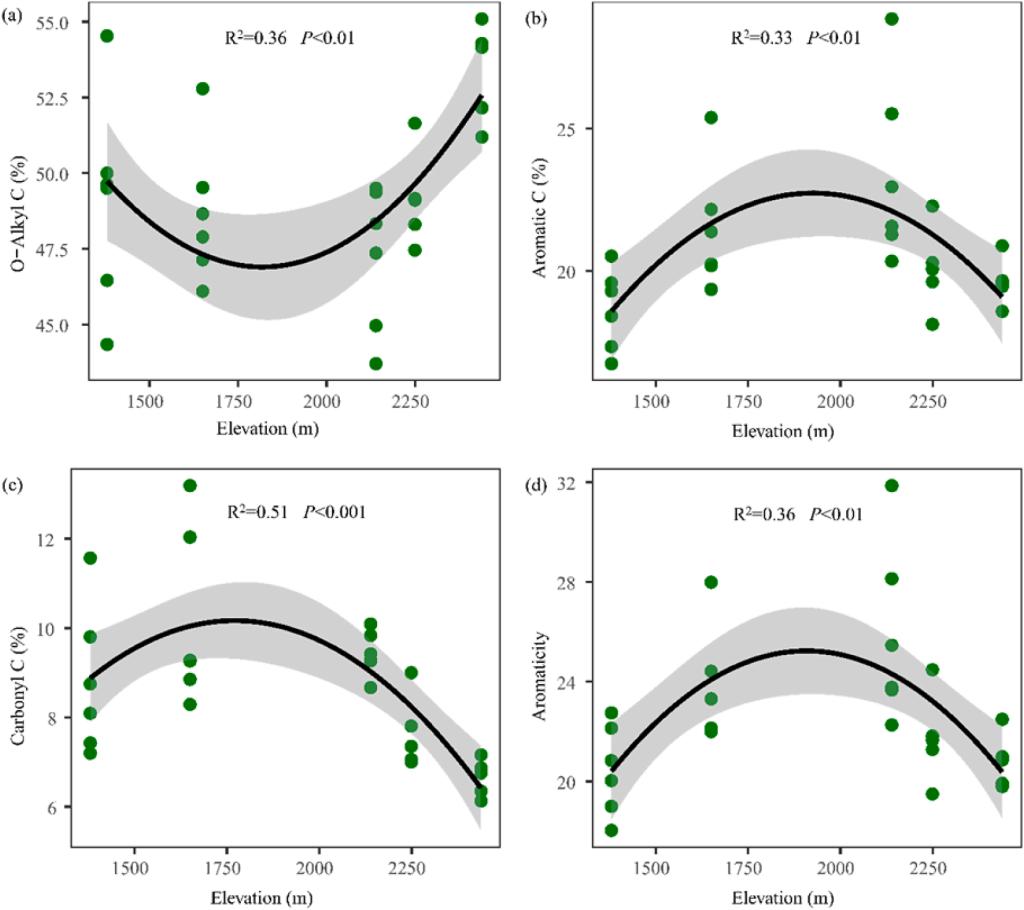
近日,我院山地生态系统团队和退化草地生态系统及管理团队围绕贺兰山土壤团聚体物理保护和有机碳化学结构稳定性,综合分析了山地土壤有机碳稳定性对海拔变化的响应规律。研究发现,贺兰山随海拔升高,土壤主要团聚体由微团聚体转变为大团聚体,团聚体稳定性在中高海拔显著高于低海拔。固体13C NMR波谱分析表明有机碳化学组分在贺兰山不同海拔差异显著,其中氧烷基碳是贺兰山有机碳的主要化学组分,芳香碳含量的变化是导致有机碳化学组分海拔分异的主要成分。不同有机碳化学组分含量随海拔升高均呈现单峰变化趋势,易分解的氧烷基碳在中海拔最低,而结构稳定的芳香碳、羰基碳及有机碳稳定性指标芳香度均在中海拔达到最高(图1)。大团聚体的物理保护和芳香烃的化学保护可能是贺兰山土壤有机碳在不同沿海拔梯度存储的主要机制。相较于土壤有机碳化学组分,土壤团聚体分布和稳定性对气候和土壤因子响应敏感(图2),因此在脆弱山地生态系统的经营中应加强对团聚体的保护,以提高有机碳的稳定性。该成果以“Chemical composition of soil organic carbon and aggregate stability along an elevation gradient in Helan Mountains, Northwest China”为题发表在生态学国际主流期刊Ecological Indicators。论文链接:https://authors.elsevier.com/sd/article/S1470-160X(21)00893-1
该研究成果以我院生态学专业硕士研究生吴梦瑶为第一作者,陈林副研究员和李学斌研究员为共同通讯作者。该研究工作得到了国家自然科学基金项目(31960359)、宁夏回族自治区重点研发项目(2018BFG02015)和宁夏自然科学基金(2020AAC03102)的资助。

|
 |
| 图1 土壤团聚体组分、稳定性及有机碳化学组分随海拔升高的变化 |

|
图2 有机碳化学组分主成分分析(左),有机碳化学组分与团聚体分布的冗余分析(右) |
(撰稿人:吴梦瑶)